Tabel Faktor Bunga. Tabel bunga pemajemukan diskrit i 5 n pf fp pa ap fa af pg ag 1 0952381 1050000 0952381 1050000 1000000 1000000 0000000 0000000 2 0907029 1 Slideshare uses cookies to improve functionality and performance and to provide you with relevant advertising. Pengertian Bunga Anuitas Menurut Para Ahli. Fakultas Teknik Jurusan Teknik Elektro Universitas Atma Jaya Makassar. Pengaruh bunga modal majemuk dapat dihitung seperti Tabel berikut.
Tabel Faktor Bunga Majemuk
Tabel Faktor Bunga Majemuk From id.scribd.com
More related: Gambar Wallpaper Keren Untuk Perempuan - Contoh Spanduk Tahun Baru Islam - Karakteristik Samudra Arktik - Wallpaper Aesthetic Kotak Kotak -
Fakultas Teknik Jurusan Teknik Elektro Universitas Atma Jaya Makassar. Anuitas adalah jumlah pembayaran periodik yang tetap besarnya yang di dalamnya sudah terhitung pelunasan pinjaman dan uangnya. Tabel data adalah rentang sel tempat Anda bisa mengubah nilai di beberapa sel dan menghasilkan jawaban berbeda untuk sebuah masalah. TABEL BUNGA Rumus-rumus bunga tersebut yang ada tanda kurung disebut faktor bunga yang nilainya dapat dicari dalam tabel bunga dengan harga suku bunga idan periode n yang sesuai. Looks like youve clipped this slide to already. Faktor bunga nilai mejemuk tersebut digunakan untuk menyelesaikan persamaan FV n Po FVIF in di atas.
Berdasarkan Tabel 1 terlihat R-Square sebesar 0343351 itu berarti 3433 persen.
Untuk mengambil tabel dan kualitas gambar yang bagus silahkan klik gambar. Menurut Kasmir 2008138 -140 mengemukakan bahwa faktor-faktor. Tabel bunga pemajemukan diskrit i 5 n pf fp pa ap fa af pg ag 1 0952381 1050000 0952381 1050000 1000000 1000000 0000000 0000000 2 0907029 1 Slideshare uses cookies to improve functionality and performance and to provide you with relevant advertising. Program Studi Teknik Kimia Fakultas Teknik Universitas Pembangunan Nasional VETERAN Jawa Timur fNAMA KELOMPOK Reyhan Zakaria 1431010045 Anis Zaenuwar Sabichi 1431010049 Hasan Djadid Assegaff 1431010056 Amalia Imas Larissa 1431010058 Mayya Mahfudhotus S. Faktor bunga nilai mejemuk tersebut digunakan untuk menyelesaikan persamaan FV n Po FVIF in di atas. TABEL FAKTOR SUKU BUNGA MAJEMUK MATA KULIAH KEWIRAUSAHAAN I Simon Patabang MT.
4 Cara Penyerbukan Bunga Sebutkan Dan Jelaskan Secara Singkat Penulis Cilik Bunga Tulisan Membaca
Source: id.pinterest.com
Rugian berupa resiko tidak diterimanya.
Pin Di Android Komputer Laptop
Source: pinterest.com
TABEL FAKTOR SUKU BUNGA MAJEMUK MATA KULIAH KEWIRAUSAHAAN I Simon Patabang MT.
Rancangan Percobaan Pertumbuhan Biji Kacang Hijau Kuningan Batang Daun
Source: in.pinterest.com
Posting pada Rumus Matematika SMA Ditag 3 Cara untuk Menghitung Bunga Obligasi Tahunan cara menghitung bunga sederhana Faktor diskonto jenis dan cara perhitungannya MATERI BUNGA DAN DISKONTO Menggunakan informasi arus kas dan nilai kini dalam pengukuran Negosiasi Letter of Credit Diskonto Tugas 1 konsep nilai waktu dari uang.
Nilai Waktu Uang Time Value Of Money Manajemen
Source: slidetodoc.com
Jika perlu pergunakan cara interpolasi untuk menghitung faktor yang tidak terdapat suku bunganya dalam tabel jika idalam pecahan desimal.
Tabel Bunga Pdf Txt
Source: pdfcookie.com
TABEL PVIF Present Value Interest Factor d.
Pin On Cara Cara
Source: pinterest.com
100 menganggap dokumen ini bermanfaat Tandai dokumen ini sebagai bermanfaat.
Faktor Pendorong Dan Penghambat Perdagangan Internasional Pengertian Resiko Dari Warrant Persamaan Saham D Hambatan Perdagangan Perdagangan Internasional Kupon
Source: id.pinterest.com
Anuitas adalah suatu rentetan pembayaran yang jumlahnya sama yang diterima atau dibayarkan pada setiap akhir periode dengan waktu yang sama.
Tabel Faktor Suku Bunga Majemuk
Source: slideshare.net
Rugian berupa resiko tidak diterimanya.
Bagian Bagian Tumbuhan Fungsi Akar Batang Daun Dan Bunga Ruangkelasku
Source: pinterest.com
Newn42040_appBqxd 1504 1052 AM Page 559 APPENDIX B Compound Interest Tables Values of Interest Factors When N Equals Infinity Single Payment.
Pin Di Kumpulan Perbedaan Lengkap
Source: id.pinterest.com
Contoh bagus tabel data menggunakan fungsi PMT dengan jumlah pinjaman dan suku bunga yang berbeda untuk menghitung jumlah terjangkau pada pinjaman hipotek rumah.
Bunga 10 15 Pdf
Source: scribd.com
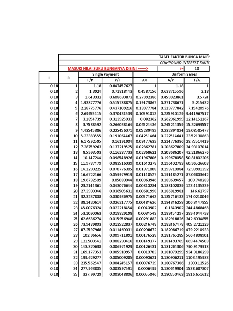
Tabel tersebut dinamakan tabel Faktor Bunga Nilai Majemuk Future Value Interest Factor atau Faktor Bunga Nilai Akhir Terminal Value Interest Factor.
Tabel Bunga 0 25 2 5 Pdf
Source: pdfslide.net
You just clipped your first slide.
Tabel Faktor Bunga Majemuk
Source: id.scribd.com
Fakultas Teknik Jurusan Teknik Elektro Universitas Atma Jaya Makassar.
Tabel Bunga 0 25 2 5 Pdf
Source: pdfslide.net
Iii PRAKATA Puji dan syukur penulis panjatkan kepada Tuhan Yang Maha Esa atas berkat dan rahmatNya sehingga selesainya edisi kedua buku ajar mata kuliah Ekonomi Rekayasa HSKB-728 dalam rangka meningkatkan proses belajar mengajar yang bebasis kompeten.
Tabel Suku Bunga Pdf Pdf
Source: scribd.com
Posting pada Rumus Matematika SMA Ditag 3 Cara untuk Menghitung Bunga Obligasi Tahunan cara menghitung bunga sederhana Faktor diskonto jenis dan cara perhitungannya MATERI BUNGA DAN DISKONTO Menggunakan informasi arus kas dan nilai kini dalam pengukuran Negosiasi Letter of Credit Diskonto Tugas 1 konsep nilai waktu dari uang.
Distributor Serbuk Mangan Serbuk Mangan Terlaris Terjamin Keamanannya Tabel Periodik Warna Abu Abu
Source: id.pinterest.com
Jumlah ini merupakan nilai uang kemudian future value sedangkan Rp 1000 disebut nilai sekarang present value Perhitungan bunga modal majemuk lebih umum digunakan dalam.
Tabel Faktor Suku Bunga Majemuk
Source: slideshare.net
Faktor bunga nilai mejemuk tersebut digunakan untuk menyelesaikan persamaan FV n Po FVIF in di atas.
Tabel Bunga Pdf Txt
Source: pdfcookie.com
Contoh bagus tabel data menggunakan fungsi PMT dengan jumlah pinjaman dan suku bunga yang berbeda untuk menghitung jumlah terjangkau pada pinjaman hipotek rumah.
